跳到主要內容
首頁 > 藏品資訊
:::

藏品資訊

藏品資訊
林柏燕輯註:「大新吟社」原稿複印本─七十一藏品圖,第1張
圖檔授權標示:創用CC說明圖示
林柏燕輯註:「大新吟社」原稿複印本─七十一藏品圖,第2張
圖檔授權標示:創用CC說明圖示
林柏燕輯註:「大新吟社」原稿複印本─七十一藏品圖,第3張
圖檔授權標示:創用CC說明圖示
林柏燕輯註:「大新吟社」原稿複印本─七十一藏品圖,第4張
圖檔授權標示:創用CC說明圖示
林柏燕輯註:「大新吟社」原稿複印本─七十一藏品圖,第5張
圖檔授權標示:創用CC說明圖示
林柏燕輯註:「大新吟社」原稿複印本─七十一藏品圖,第6張
圖檔授權標示:創用CC說明圖示
林柏燕輯註:「大新吟社」原稿複印本─七十一藏品圖,第7張
圖檔授權標示:創用CC說明圖示
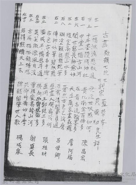
林柏燕輯註:「大新吟社」原稿複印本─七十一

AA 文學

2008

長:31.5 x 寬:25.2 x 高:0.05 (cm)

30g

登錄號:2008.010.0270

本藏品為「大新吟社」原稿複印本─七十一。課題為「古畫」(七絕歌韻);左、右詞宗(註:評審)為藍華峯、黃國和。影本以白紙黑字影印而成,紙張橫幅對折,中文直書,單面,共六頁,右上角以訂書針裝訂。首頁上以黑筆載詩題、左右詞宗等資訊,全篇共收錄五十五首詩,詩旁載有左右詞宗評之名次、作者名。影本上有以紅筆註記「七十一」、「✓」、劃記、修改等。