跳到主要內容
首頁 > 藏品資訊
:::
藏品資訊
重修萬皇宮境外捐題碑記拓本藏品圖,第1張
圖檔授權標示:創用CC說明圖示
重修萬皇宮境外捐題碑記拓本藏品圖,第2張
圖檔授權標示:創用CC說明圖示
重修萬皇宮境外捐題碑記拓本藏品圖,第3張
圖檔授權標示:創用CC說明圖示
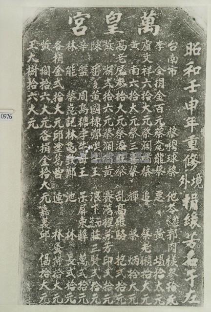
重修萬皇宮境外捐題碑記拓本

不詳、不詳

器物類 - 商業財產

碑碣拓本

1932~1932

寬:44 x 高:73 (cm)

原碑尺寸(寬):44.00 , 原碑尺寸(高):73.00 , 原碑尺寸(厚):0.00

採拓

登錄號:19920010032

本物件為西元1932年(昭和7年)萬皇宮重修捐提碑記,詳列境外捐款者姓氏與金額。萬皇宮主祀葉、朱、李三王爺,為灣裡地區的信仰中心。

藏品描述-授權標示:創用CC說明圖示