不詳
圖書文獻類 - 藝術圖像
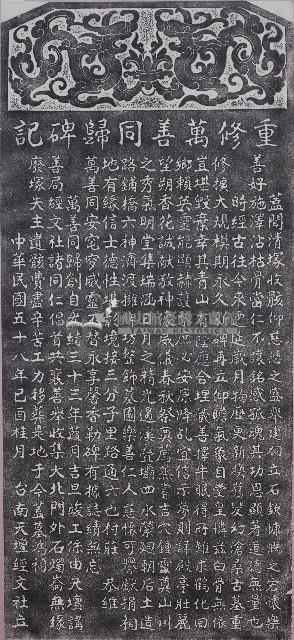
碑碣拓本
觀音石
1969~1969
寬:60 x 高:128 (cm)
原碑尺寸(寬):60.00 , 原碑尺寸(高):128.00 , 原碑尺寸(厚):0.00
採拓
登錄號:19970011112
本物件為西元1969年(民國58年)重修萬善同歸碑記,碑額鐫刻雙龍拱爐紋飾;係由臺南天壇社重修永康英靈廟的記事。人死為鬼,無祀則為厲;故收埋無主遺駭可謂安定人與鬼,亦為慈善之舉。無主遺骸合葬之處,俗稱「義塚」或「同歸所」,也稱「萬善同歸所」。
臺灣早期的移民開發進程中,天災、瘴癘、民變、械鬥、爭地、營兵、加上來臺者多半為孤身男丁,客死異鄉後屍骨無人收埋成無主孤魂,為害怕其作祟或求其庇祐,而集中祭祀,漸形成厲鬼信仰。因人民相信厲鬼能「依草附木,求食殃民」,故厲祠原意在避害,故早期多名「萬善」「大眾」;日治以後則多稱「有應」、「萬應」、「靈應」、「必應」等,降低原本的崇避性質,轉而變為祈願求應的祠廟。一般大眾對厲祠的心態是從恐懼 、悲憫 到隨俗 、認同 進而祈福的過程。
藏品描述-授權標示: