跳到主要內容
首頁 > 藏品資訊
:::
藏品資訊
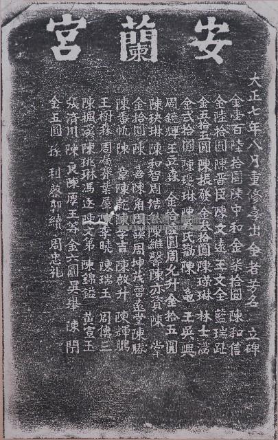
安瀾宮重修捐題碑記拓本藏品圖,第1張
圖檔授權標示:創用CC說明圖示
安瀾宮重修捐題碑記拓本

不詳

圖書文獻類 - 藝術圖像

碑碣拓本

1918~1918

寬:63 x 高:97 (cm)

原碑尺寸(寬):63.00 , 原碑尺寸(高):97.00 , 原碑尺寸(厚):0.00

採拓

登錄號:20000010446

本物件為西元1918年(大正7年)安瀾宮重修捐題碑記,碑額題刻「安蘭宮」;該宮重修紀事,詳列捐款者姓名與金額,立碑垂遠。安瀾宮主祀天上聖母,舊名媽祖宮,創建於西元1766年(乾隆31年)。

藏品描述-授權標示:創用CC說明圖示