方思恩
圖書文獻類 - 藝術圖像
碑碣拓本
1967~1967
寬:60 x 高:167 (cm)
原碑尺寸(寬):60.00 , 原碑尺寸(高):167.00 , 原碑尺寸(厚):0.00
採拓
登錄號:19980011382
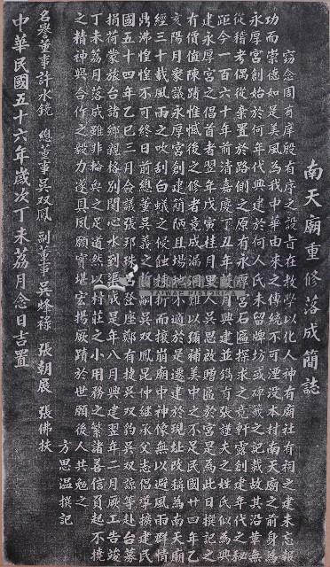
本物件為西元1967年(民國56年)南天廟重修落成簡誌;係南天廟重修記事,詳述南天宮創設始末及重建經過。
澎湖縣白沙鄉瓦硐永厚宮於西元1935年(昭和10年)改建,更名為南天廟,亦稱南天宮,主祀關聖帝君。西溪村的打石師傅聞名遐邇於澎湖,南天 宮改建的石材,也多出自西溪打石師傅之手。
藏品描述-授權標示: