瀏覽器不支援JavaScript,於網站內進行任何查詢操作必須要手動清除文字方塊內的預設文字否則將會以預設文字為條件進行查詢(預設文字是為了符合 3A 標準)
您的瀏覽器似乎不支援JavaScript語法,但沒關係,這裡的JavaScript語法並不會影響到內容的陳述, 如需要選擇字級大小,IE6請利用鍵盤按住ALT鍵+ V → X → (G)最大(L)較大(M)中(S)較小(A)小,來選擇適合您的文字大小, 而IE7或Firefox瀏覽器則可利用鍵盤 Ctrl + (+)放大(-)縮小來改變字型大小,如需要回到上一頁可使用瀏覽器提供的 Alt+左方向鍵(←) 快速鍵功能,列印可使用瀏覽器提供的(Ctrl+P)功能。
跳到主要內容
:::
網站導覽
快速查詢
網站導覽
藏品查詢
分類瀏覽
典藏精選
作者瀏覽
圖像申請
典藏加值
藏品小故事
聯絡我們
圖像下載
我要捐贈
選擇查詢類別
全部類別
手稿
多媒體
其他
信札
書畫
報紙
期刊
圖書
器物
攝影
:::
藏品資訊
回上一頁
列印
當script無法執行時,可使用瀏覽器列印功能進行列印基本資料。
主要名稱:
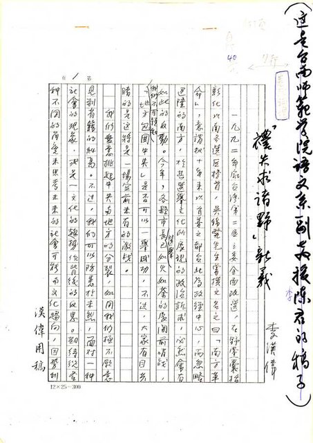
「禮失求諸野」新義(影本)
成文日期:
不詳
類別:
手稿
作者:
李漢偉
原件與否:
重製品
藏品層次:
單件
數量單位:
6張共6頁
尺寸大小(長*寬*高):
29.6*21cm
數位化類別:
影像(圖片)
是否數位化:
是
關鍵詞:
李漢偉|禮失求諸野|中央|地方
典藏單位:
國立臺灣文學館
摘要:
一九九二年立委改選,在野黨於南方大勝,吳錦發先生稱「南方革命」。作者認為八點檔「包青天」之風靡情形凸顯台灣亂象與民眾的鴕鳥心態,又以高鐵預算案被否決對比瑕疵不斷的台北捷運,認為這是漠視南部居民運輸權。再以澎湖離島公路不便,以及司機對核四應蓋在中正紀念堂的看法,鋪陳出「南方革命」的外在背景。作者並以陳萬益一文作為臺灣文學進入學院的標的。以游喚文章及《文學臺灣》的成立作為來自南方的聲音。(文/謝欣珈)
其他說明:
互見《文學台灣》第8期,1993年10月5日,頁4-6。
印記/簽名:
題目下方有「李漢偉」簽名
提供者:
文學台灣雜誌社
登錄號:
NMTL20120210034
-相關藏品-
主要名稱:責任年代的一條路
主要名稱:報紙與副刊
主要名稱:琦君與姚宜瑛、羅蘭...
主要名稱:琦君與文友餐聚合照7
主要名稱:琦君與文友餐聚合照5
主要名稱:琦君與鮑曉暉、楊榕...
主要名稱:文星 8卷4期 4...
主要名稱:紫色大稻埕副題名:...
主要名稱:歡聞國民黨壯士斷腕
主要名稱:往事如烟
主要名稱:琦君出席中央副刊文...
主要名稱:跨出第一步的喜悅
主要名稱:琦君出席中央日報主...
主要名稱:琦君與文友餐聚合照8
主要名稱:狗籠
主要名稱:臺灣省文獻委員會採...
主要名稱:尋找中央山脈的弟兄...
主要名稱:琦君與姚宜瑛、羅蘭...
主要名稱:琦君與文友餐聚合照2
主要名稱:琦君與文友餐聚合照6
主要名稱:恍然大悟
主要名稱:琦君與鮑曉暉、楊榕...
主要名稱:琦君出席中央日報主...
主要名稱:首展—南投畫派
主要名稱:橫越中央山脈──台...
主要名稱:琦君與鮑曉暉、楊榕...
主要名稱:琦君與文友餐聚合照3
主要標題:1.台灣民族文化瑰...
主要名稱:劄記
主要名稱:琦君出席中央日報主...
主要名稱:李登輝唱乾抹盡
主要名稱:琦君與姚宜瑛、羅蘭...
主要名稱:培植與鼓勵 生根與...
主要名稱:戲劇家馬彥祥
主要名稱:為台南的歷史請命!
主要名稱:文協大地震!:中央...
主要名稱:琦君出席第一屆全國...
主要名稱:青鳥不到的地方
主要名稱:寧可.柯適中.游守...
主要名稱:台灣文學與中央書局...
主要名稱:當勝利來臨的一剎那
主要名稱:琦君與學生合照1-2
主要名稱:中副自白
主要名稱:憧憬過後.走向未來
主要名稱:中央書局
主要名稱:琦君出席中央日報主...
主要名稱:百年身世一登樓
主要名稱:也談專業報紙
:::
地址:台南市700005 臺南市中西區中正路(湯德章大道)1號 | 電話:(06)2217201 | 傳真:(06)2217232 |
版權所有 Copyright by National Museum of Taiwan Literature